#新闻 ·2025-01-02
本文作者来自清华大学、字节跳动、中科院自动化所、上海交通大学和新加坡国立大学。作者列表:李兴航、李沛言、刘明桓、王栋、刘济榕、康炳易、马骁、孔涛、张翰博和刘华平。第一作者李兴航是清华大学计算机系博士生。通讯作者是字节跳动机器人研究员孔涛,新加坡国立大学博士后张翰博和清华大学计算机系教授刘华平。
近年来,视觉语言基础模型(Vision Language Models, VLMs)大放异彩,在多模态理解和推理上展现出了超强能力。现在,更加酷炫的视觉语言动作模型(Vision-Language-Action Models, VLAs)来了!通过为 VLMs 加上动作预测模块,VLAs 不仅能 “看” 懂和 “说” 清,还能 “动” 起来,为机器人领域开启了新玩法!

虽然 VLAs 在各种任务和场景中表现抢眼,但大家在模型设计上却走了很多不同的路,比如用什么架构、怎么选数据、怎么调训练策略等等,这导致领域内对 “怎么做好一个 VLA” 还没有统一的答案。为了理清这些问题,我们通过一系列的实验,提出了一个全新模型 ——RoboVLMs。


这个模型超级简单,但性能却相当硬核!它不仅在三个模拟任务中取得了高分,还在真实机器人实验中交出了满分答卷。这篇文章就是要带你一起看看,我们是如何用 RoboVLMs 解锁 VLA 的无限可能!
我们围绕四个关键问题,对 VLA 的设计展开了深度探索,下面就带你看看答案!
1. 为什么要用 VLA 模型?
简单说,通过实验,我们发现设计合理的 VLA 不仅能轻松搞定常见的操作任务,还能在陌生场景中稳稳发挥。
仿真任务中拿下顶尖成绩
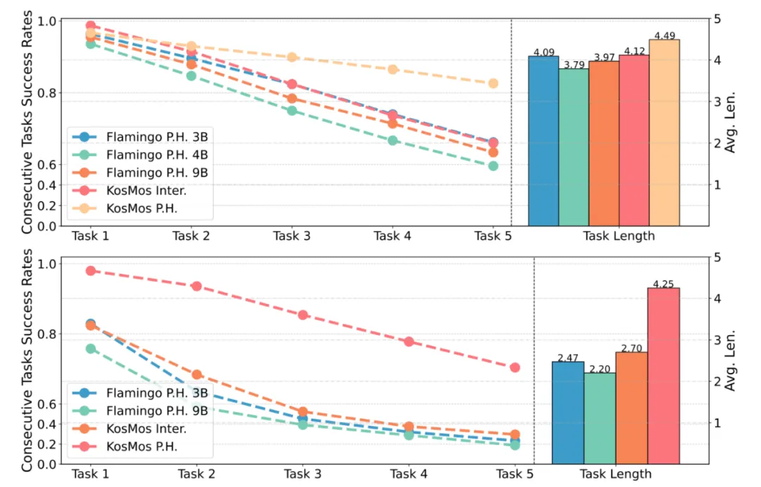
在 CALVIN 和 SimplerEnv 环境里,RoboVLMs 取得了压倒性的胜利:

图 1 SimplerEnv 仿真环境中的评测结果

图 2 针对视觉语言预训练的消融实验结果


在真实环境中,RoboVLMs 面对更复杂的挑战,仍然比其他模型表现更好。比如,在果蔬分类任务中,它不仅能精准识别,还能应对干扰环境,稳稳完成分类操作。无论是已知场景还是新任务,它都能轻松拿下。

图 3 真实环境下的评测结果
对于未见过的技能描述、背景、干扰物体和目标物体,RoboVLMs 均能很好的完成任务。

2. 怎么设计一个靠谱的 VLA 架构?
这里面讲究可不少!比如:
经过一系列实验,我们确认了这些设计选择是提升模型性能和泛化能力的关键。进一步的实验也表明,最优的设计来自于基于 KosMos 基座模型的架构,并且结合了专门的历史信息组织模块。这样的设计在 CALVIN 中实现了出色的泛化能力,在 zero-shot 设置下仅有轻微的性能下降,而其他设计形式的模型则出现了显著掉分。这一结论直接说明,架构设计的好坏对模型的泛化能力和效率至关重要。

3. 选什么基座模型最合适?
我们对比了当前主流的 8 种视觉语言模型(VLM),结果发现 KosMos 和 Paligemma 的表现遥遥领先,轻松碾压其他模型。无论是任务完成的精确度还是泛化能力,它们都展现出了压倒性的优势。究其原因,主要得益于它们经过了扎实且全面的视觉语言预训练,从而为模型提供了强大的先验知识和理解能力。
这一发现让我们更加确信:选对基座模型,就是让 VLA 模型起飞的关键一步!想要让模型在多模态任务中表现惊艳,一个经过深度预训练、具备强大视觉语言表征能力的 VLM 基座显然能提供无与伦比的助力。而一旦打好了这个基础,后续的设计和训练才能真正发挥最大潜力。

4. 跨本体数据什么时候加入最合适?
实验告诉我们一个黄金法则:在预训练阶段引入跨本体数据(如 Open-X Embodiment 数据集)可以显著提升模型的鲁棒性和少样本场景下的表现。反之,直接将跨本体数据和微调数据混合训练,效果就没那么显著了。这些结论为未来 VLA 模型的训练策略指明了方向。
具体实验中,我们在 WidowX+Bridge 和 Google Robot 两大环境下分别进行了不同训练策略的测试:
WidowX+Bridge 环境:
Google Robot 环境:
实验结果进一步验证了:在预训练阶段引入跨本体数据不仅能提升泛化能力,还能让模型在少样本和高复杂任务下表现更佳。

虽然 RoboVLMs 已经很能打了,但接下来的发展空间更让人期待!未来可以探索:
RoboVLMs 的出现,验证了视觉语言动作模型的可能性,也让机器人更接近成为我们的全能助手。未来,它们或许不仅能理解语言和视觉,还能真正帮我们完成那些繁琐又复杂的任务。接下来会有更多惊喜等着我们!
如有任何疑问 请随时与我们联系
友情链接
咨询微信客服
13004184443
立即获取方案或咨询
top